SUMMARY of 2026 CONTRACT EXTENSION







Verizon Wireless Inside Hut Work
Our Central Office Technicians will now do all of the work on VZW Transport equipment located in our Central Offices.
Verizon Wireless SAP/TAP Work
All technician work on VZW operational transport equipment in its Service Aggregation Point (SAP) and Transport Aggregation Point (TAP) sites will be performed by bargaining unit members. 14 NFO (VZB) positions will be created in NY/NE to perform this work. Verizon Wireless Technicians currently performing this work will be given priority for these positions.
Verizon Business Fiber Restoration Splicing Work (Currently Contracted)
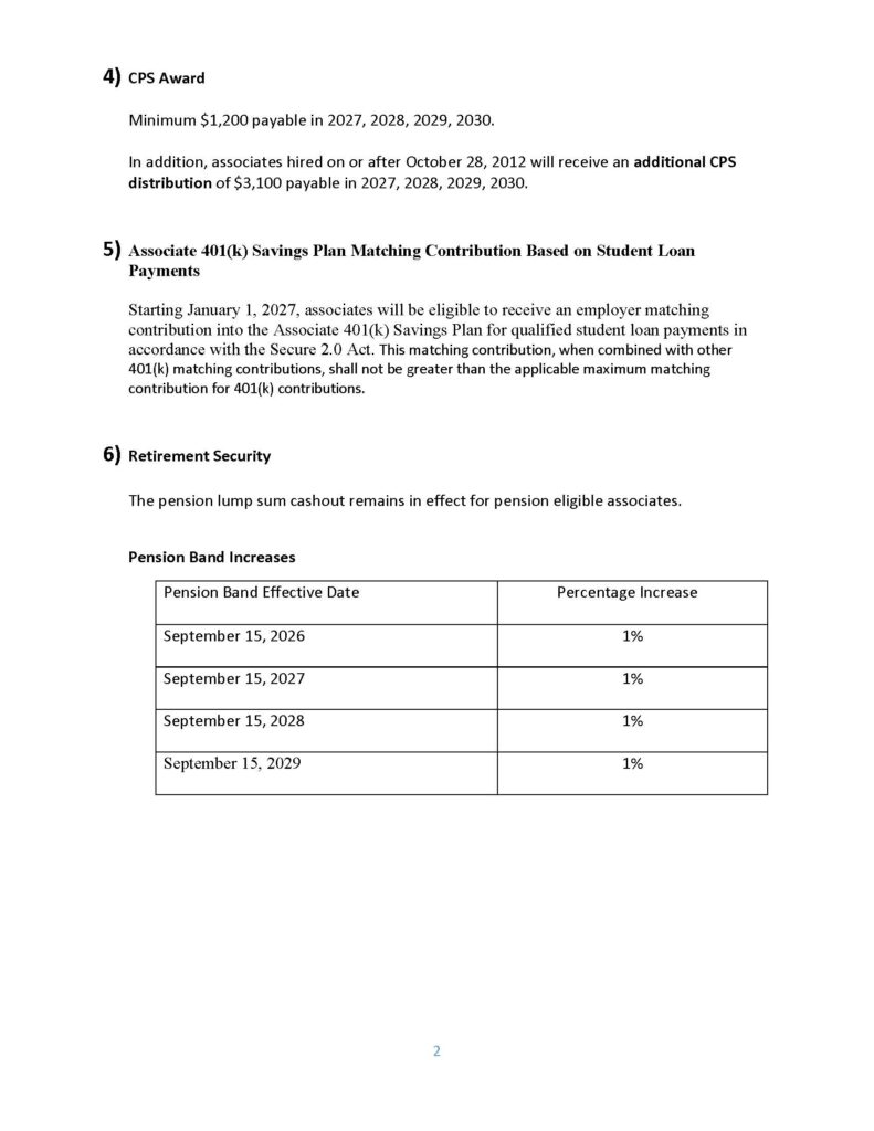
Verizon Telecom Technicians or VZB Technicians will now do all fiber restoration splicing work as well as pulling and splicing of VZB fiber that does not require infrastructure work (placing conduit, handholes).
One Talk (VZW Product)
Verizon Telecom technicians will do a majority of the professional installations (based on 5G agreement).
Eaton Fiber (Pacific Northwest)
Bargaining unit employees will perform the sales, service, and technical support work associated with Eaton Fiber FIOS customers.
VZB and VZW Installation Work
Equipment Installation Technicians may perform Wireless or VZB installation work regardless of where the transport equipment is located when they are available.
